|
|
Home
|
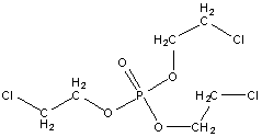
Tris(2-chloroethyl) phosphate CAS #
115-96-8
|
|
Molecular weight
|
285.49
|
|
|
|
|
|
|
|
|
|
|
Equivalent weight
|
NA |
|
Formula
|
C6H12Cl3O4P |
|
Toxicity/Safety
|
See MSDS of Supplier.
|
|
.
|
|
|
Properties
|
Typical
|
|
|
| Appearance |
clear
very light yellow liquid |
|
| Boiling
point, 10 mm Hg, °C (°F) |
192
(378) |
|
| Freezing/Melting
Point: °C (°F) |
-51
(-60) |
|
| Specific Gravity,
20°C, 65ºF, g/ml |
1.390 |
|
| Viscosity:
25°C, 77°F, cPs |
38 |
|
| Flash
point, °C (°F) |
150
( 302) |
|
| Autoignition
temperature, °C (°F) |
480
( 896) |
|
|
Phosphorous
content, % |
10.8 |
|
| Chlorine
content, % |
37.2 |
|
|
|
|
| Regulatory |
Inventory |
. |
| CAS REGISTRY NUMBER |
# 115-96-8 |
NAME : Ethanol, 2-chloro-, phosphate (3:1) |
| TSCA |
USA |
|
Yes |
| DSL |
Canada |
|
Yes |
| EINECS |
Europe EINECS No. 204-118-5 |
|
Yes |
| ASIA-PAC |
Australia,
China, Japan, Korea, Philippines, and Taiwan |
|
Yes |
| ENCS |
Japan
ENCS No. 2-1941X, No. 2-1941 |
|
Yes |
| ECL |
Korea ECL Serial No. KE-34072 |
|
Yes |
| Swiss |
Switzerland
SWISS No. G-2988 |
|
Yes |
| The
fact that a compound is not listed under a specific CAS # in a
countries inventory does not mean this compound cannot be used, it
can be an exempt compound or polymer which does not require listing,
or it can be listed in a different category. Ask your supplier. |
|
| Other names: |
Tri(ß-chloroethyl) phosphate
Tri(2-chloroethyl) phosphate
Tri(chloroethyl) phosphate
Tris(2-chloroethyl) orthophosphate
Tris(chloroethyl) phosphate
|
|
|
|
|
| Commercial
Products or generic terms used for products. For manufacturer see Additives MFCT. |
|
|
| Some of these products are
marketed as
antioxidants and not as chain extender |
| 3CF |
Amgard TCEP |
CEF |
Celluflex CEF |
CLP |
| Disflamoll TCA |
Fyrol CEF |
Fyrol CF |
Genomoll P |
Niax 3CF |
| Niax Flame Retardant |
3CF |
TCEP |
|
|
|
|
|
|
|
|
|
|
|
|
| Some of these
product names might not be commercial anymore, the product names still
might be in old formulations |
|
|
|
|
Last edited on:
|
July 11, 2006
|
Copyright®, Design, Layout and Technical Content by:
|

|
|
|