|
|
Home
|
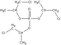
Tris(2-chloro-1-methylethyl) phosphate
CAS # 13674-84-5
|
|
Molecular weight
|
327.57
|
|
|
|
|
|
|
|
|
|
|
Equivalent weight
|
NA |
|
Formula
|
C9H18Cl3O4P |
|
Toxicity/Safety
|
See MSDS of Supplier.
|
|
.
|
|
|
Properties
|
Typical
|
|
|
| Appearance |
Colorless
to light yellowish clear liquid |
|
| Viscosity, 25°C,
77°F, mpa.s |
68 |
|
| Freezing
point, °C (°F) |
-40
(-40) |
|
| Specific Gravity,
20°C, 65ºF, g/ml |
1.293±0.005 |
|
| Refractive
index n25D |
1.463±0.003 |
|
| Flash
point, °C (°F) |
210
(410) |
|
|
Phosphorous
content, % |
9.3 |
|
| Chlorine
content, % |
31.4 |
|
|
|
|
| Regulatory |
Inventory |
. |
| CAS REGISTRY NUMBER |
# 13674-84-5 |
NAME : 2-Propanol, 1-chloro-, phosphate |
| TSCA |
USA |
|
Yes |
| DSL |
Canada |
|
Yes |
| EINECS |
Europe
EINECS No. 237-158-7 |
|
Yes |
| ASIA-PAC |
Australia,
China, Japan, Korea, Philippines, and Taiwan |
|
Yes |
| ENCS |
Japan
ENCS No. 2-1941X, No. 2-1941 ENCS No. 2-2951X, No. 2-2951 |
|
Yes |
| ECL |
Korea ECL Serial No. KE-05878 |
|
Yes |
| The
fact that a compound is not listed under a specific CAS # in a
countries inventory does not mean this compound cannot be used, it
can be an exempt compound or polymer which does not require listing,
or it can be listed in a different category. Ask your supplier. |
|
| Other names: |
Tris(b-chloroisopropyl) phosphate
Tris(1-chloro-2-propyl) phosphate
Tris(1-methyl-2-chloroethyl) phosphate
Tris(2-chloroisopropyl) phosphate
Tris(chloroisopropyl) phosphate
|
|
|
|
|
| Commercial
Products or generic terms used for products. For manufacturer see Additives MFCT. |
|
|
| Some of these products are
marketed as
antioxidants and not as chain extender |
| Amgard TMCP |
Antiblaze 80 |
Daltoguard F |
Fyrol PCF |
Hostaflam OP 820 |
| Levagard PP |
TCPP |
Tolgard TMCP |
TMCPP |
|
|
|
|
|
|
|
|
|
|
|
|
|
|
|
|
| Some of these
product names might not be commercial anymore, the product names still
might be found in old formulations |
|
|
|
|
Last edited on:
|
July 11, 2006
|
Copyright®, Design, Layout and Technical Content by:
|

|
|
|