|
|
Home
|
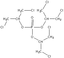
Tris[2-chloro-1-(chloromethyl)ethyl] phosphate
CAS # 13674-87-8
|
|
Molecular weight
|
430.9
|
|
|
|
|
|
|
|
|
|
|
Equivalent weight
|
NA |
|
Formula
|
C9H15Cl6O4P |
|
Toxicity/Safety
|
See MSDS of Supplier.
|
|
.
|
|
|
Properties
|
Typical
|
|
|
| Appearance |
colorless
viscous liquid |
|
| Boiling
point, 5 mm Hg, °C (°F) |
236
(457) |
|
| Specific Gravity,
20°C, 65ºF, g/ml |
1.51 |
|
| Flash
point, °C (°F) |
252
(486) |
|
| Autoignition
temperature, °C (°F) |
513
(955) |
|
|
Phosphorous
content, % |
7.19 |
|
| Chlorine
content, % |
49.4 |
|
|
|
|
| Regulatory |
Inventory |
. |
| CAS REGISTRY NUMBER |
# 13674-84-5 |
NAME : 2-Propanol, 1,3-dichloro-, phosphate |
| TSCA |
USA |
|
Yes |
| DSL |
Canada |
|
Yes |
| EINECS |
Europe EINECS No. 237-159-2 |
|
Yes |
| ASIA-PAC |
Australia,
China, Japan, Korea, Philippines, and Taiwan |
|
Yes |
| ENCS |
Japan
ENCS No. 2-1914 |
|
Yes |
| ECL |
Korea ECL Serial No. KE-34801 |
|
Yes |
| Swiss |
Switzerland
SWISS No. G-4854 |
|
Yes |
| The
fact that a compound is not listed under a specific CAS # in a
countries inventory does not mean this compound cannot be used, it
can be an exempt compound or polymer which does not require listing,
or it can be listed in a different category. Ask your supplier. |
|
| Other names: |
|
Tris(1,3-dichloro-2-propyl)phosphate
|
Tris(1,3-dichloro-2-propyl) phosphate
Tris(1,3-dichloroisopropyl) phosphate
Tris(1-chloromethyl-2-chloroethyl)phosphate
|
|
|
| Commercial
Products or generic terms used for products. For manufacturer see Additives MFCT. |
|
|
| Some of these products are
marketed as
antioxidants and not as chain extender |
| 3PC-R |
Antiblaze 195 |
CRP |
FR 10 |
Fyrol FR 2 |
| TDCPP |
PF 38 |
PF 38/3 |
|
|
|
|
|
|
|
|
|
|
|
|
|
|
|
|
|
| Some of these
product names might not be commercial anymore, the product names still
might be found in old formulations |
|
|
|
|
Last edited on:
|
July 11, 2006
|
Copyright®, Design, Layout and Technical Content by:
|

|
|
|